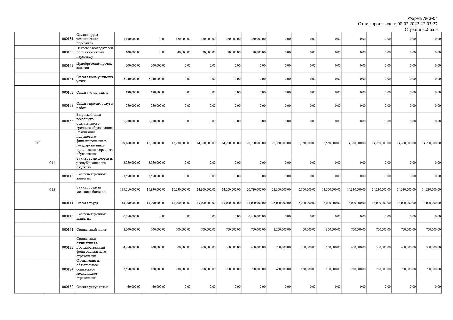
10 қаңтар 2022 0 1 2 3 4 5 Міндеттемелер бойынша жеке қаржыландыру жоспары. 01.01.2022 81-plan-po-objazatelstvam-2022g.pdf [58,7 Kb] (cкачиваний: 8) Посмотреть онлайн файл: 81-plan-po-objazatelstvam-2022g.pdf Осы беттің QR-коды:QR-код этой страницы: